Matej Balog, Nilesh Tripuraneni, Zoubin Ghahramani, Adrian Weller
34th International Conference on Machine Learning (ICML 2017)
This repository contains scripts to reproduce experiments appearing in this academic paper.
Requirements:
- Standard Python packages:
argparse,json,matplotlib,numpy,scipy,sys - Only for generating samples yourself for the A* sampling experiment in Figure 3a: A* sampling
- Only for generating samples yourself for the low-rank perturbation experiments in Figure 4: libDAI and the
subprocessPython package
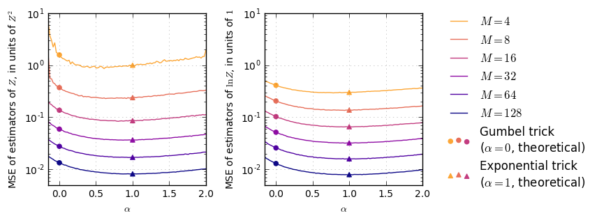
Analytically computed MSE and variance of Gumbel and Exponential trick estimators of Z (left) and ln(Z) (right).
python fig1.py
MSE of estimators of Z (left) and ln(Z) (right) stemming from Fréchet (-1/2 < α < 0), Gumbel (α = 0) and Weibull tricks (α > 0).
python fig2.py
A faster but less accurate result can be obtained by setting the repetition parameter K to a value smaller than the default 100000. For example:
python fig2.py --K 1000
Sample size M required to reach a given MSE using Gumbel and Exponential trick estimators of ln(Z), using samples from A* sampling on a Robust Bayesian Regression task.
python fig3a_plot.py
The plot is produced using 100000 samples stored in data/astar_rbr_MK100000.json. To generate samples yourself, please follow these steps:
- Obtain
astar.py,osstar.py,heaps.pyandrobustbayesregr.pyfrom Chris Maddison's A* sampling implementation. - Put all these scripts into the same directory where you store this repository.
- Execute
python fig3a_sample.py.
MSE of ln(Z) estimators for different values of α, using M=100 samples from the approximate MAP algorithm discussed in Section 5.2, with different error bounds 𝛿.
python fig3b_plot.py
The plot is produced using sample points stored in data/bandits_normal_delta0.1_M100000.json, data/bandits_normal_delta0.01_M100000.json, and data/bandits_normal_delta0.001_M100000.json.
MSEs of U(α) as estimators of ln(Z) on 10x10 attractive (left, middle) and mixed (right) spin glass model with different coupling strengths C.
python fig4_plot.py
The plot is produced using sample points stored in the data/ subdirectory. To produce samples yourself, you can follow these steps:
- Download and compile libDAI.
- Put the file
spin_glass.cppinto theexamples/subdirectory of your libDAI installation. - Compile
examples/spin_glass.cpp. For example, execute the following from the libDAI installation directory on Ubuntu:On Mac the following might work:g++ -Iinclude -Wno-deprecated -Wall -W -Wextra -fpic -O3 -g -DDAI_DEBUG -Llib -oexamples/spin_glass examples/spin_glass.cpp -ldai -lgmpxx -lgmpg++ -Iinclude -I/opt/local/include -Wno-deprecated -Wall -W -Wextra -fPIC -DMACOSX -arch x86_64 -O3 -g -DDAI_DEBUG -Llib -L/opt/local/lib -o examples/spin_glass examples/spin_glass.cpp -ldai -lgmpxx -lgmp -arch x86_64 - Update the
PATH_CPPvariable inlibdai.pywith your libDAI installation location. - Execute
python fig4_sample.py.
@inproceedings{balog2017relatives,
author = {Matej Balog and Nilesh Tripuraneni and Zoubin Ghahramani and Adrian Weller},
title={Lost Relatives of the {G}umbel Trick},
booktitle = {34th International Conference on Machine Learning (ICML)},
year = {2017},
month = {August}
}




